SPring-8, the large synchrotron radiation facility
Skip to content
Access
|
Job Opportunities
|
Site Tour
|
Contact
|
FAQ
|
Links
Google
SPring-8
Text Size
S
M
L
»
JAPANESE
Home
About Us
News and Publications
Science
For Users
for students
Kids
You are here:
wkg
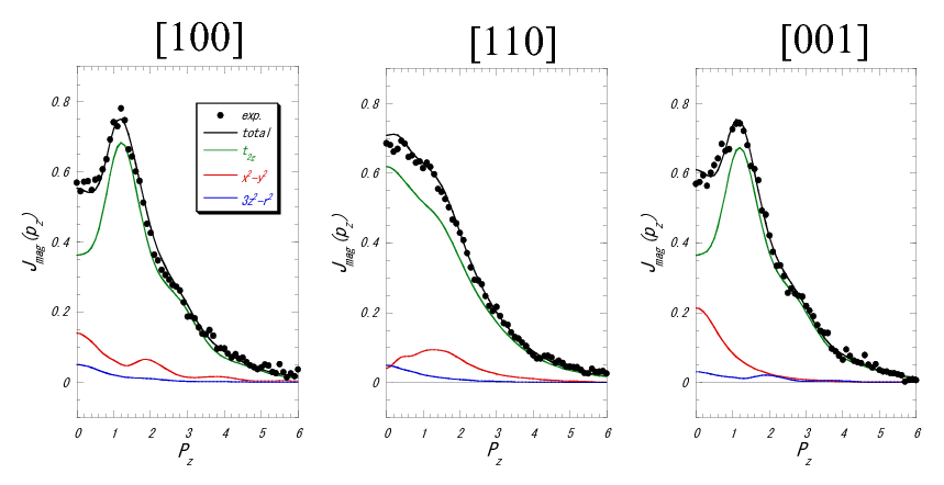
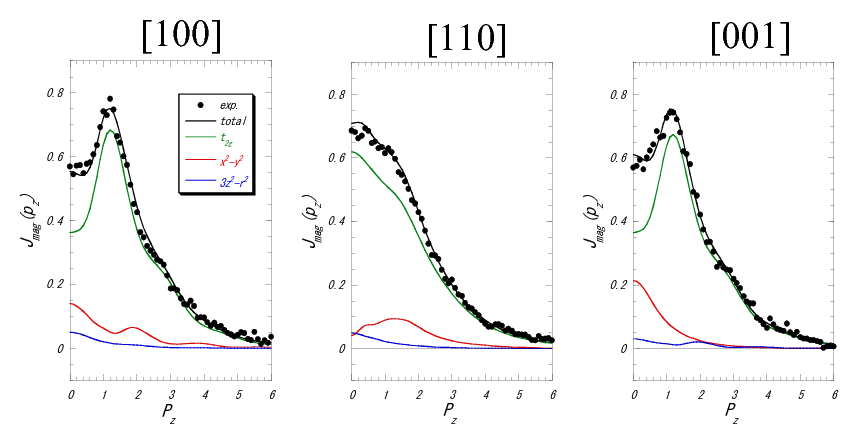
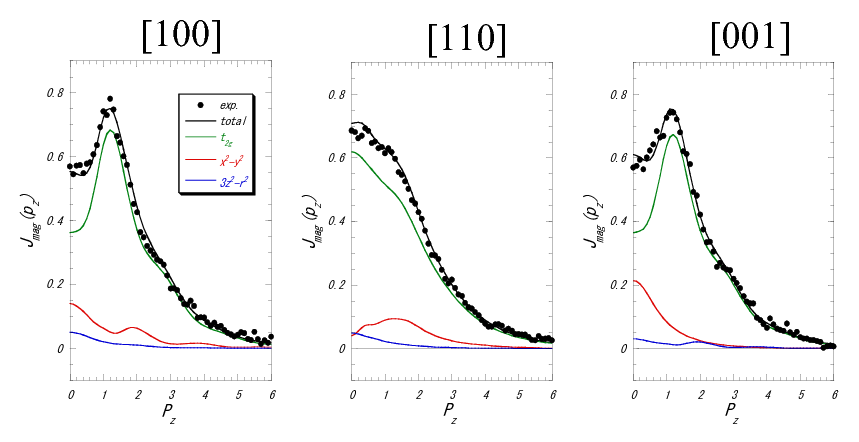
BL08W
solution
img
LSMOx035.p...
Personal tools
LSMOx035.png
Document Actions
Size
:
45.9 kB
Last modified